আমাদের স্কুল

সেটিং

বহুনির্বাচনি প্রশ্নের দেখানোর অপশনঃ
শুধুমাত্র উত্তর 2 অপশন
3 অপশন 4 অপশন
বহুনির্বাচনি প্রশ্নের অপশন প্রদর্শনঃ
রো আকারে কলাম আকারে
বহুনির্বাচনি প্রশ্নের উত্তরঃ
লুকান বোল্ড করুন
দেখান দেখান ও বোল্ড করুন
বহুনির্বাচনি প্রশ্নের ব্যাখ্যাঃ
দেখান লুকান নিচে লুকান
থিম নির্বাচন করুনঃ
ফন্ট সাইজঃ
15

SSC পরীক্ষা - 2023
ব্যবসায় উদ্যোগ - 143

শিক্ষা বোর্ডঃ চট্টগ্রাম বোর্ড

ক. সংগঠিতকরণ
খ. প্রেষণাদান
গ. সমন্বয় সাধন
ঘ. নিয়ন্ত্রণ
উত্তরঃ প্রেষণাদান
ক. আত্মকর্মসংস্থান
খ. ব্যবসায়
গ. উদ্যোগ
ঘ. ব্যবসায় উদ্যোগ
উত্তরঃ উদ্যোগ
ক. দুইটি
খ. তিনটি
গ. চারটি
ঘ. পাঁচটি
উত্তরঃ দুইটি
ক. স্বাক্ষর
খ. লেবেল
গ. নাম
ঘ. মোড়ক
উত্তরঃ মোড়ক
ক. বৈশিষ্ট্য
খ. গুণাবলি
গ. প্রয়োজনীয়তা
ঘ. উদ্দেশ্য
উত্তরঃ গুণাবলি
ক. গণতান্ত্রিক নেতৃত্ব
খ. স্বৈরতান্ত্রিক নেতৃত্ব
গ. মুক্ত নেতৃত্ব
ঘ. আমলাতান্ত্রিক নেতৃত্ব
উত্তরঃ স্বৈরতান্ত্রিক নেতৃত্ব
ক. প্রত্যক্ষ সেবা
খ. আর্থিক সেবা
গ. সামাজিক সেবা
ঘ. পারিবারিক সেবা
উত্তরঃ প্রত্যক্ষ সেবা
ক. নিম্ন আয়ের
খ. উন্নয়নশীল
গ. মধ্যম আয়ের
ঘ. উন্নত
উত্তরঃ উন্নয়নশীল
ক. ৫
খ. ৬
গ. ৭
ঘ. ৮
উত্তরঃ ৬
ক. শিল্প বিপ্লব
খ. কৃষিকাজ
গ. দ্রব্য বিনিময়
ঘ. বাজার সৃষ্টি
উত্তরঃ শিল্প বিপ্লব
ক. i, ii
খ. i, iii
গ. ii, iii
ঘ. i, ii, iii
উত্তরঃ i, ii, iii
ক. নদ-নদী
খ. প্রাকৃতিক গ্যাস
গ. মৃত্তিকা
ঘ. ঐতিহ্য
উত্তরঃ ঐতিহ্য
ক. সাহসিকতা
খ. নিজের দক্ষতা
গ. মনোবল
ঘ. উদ্যোগ
উত্তরঃ নিজের দক্ষতা

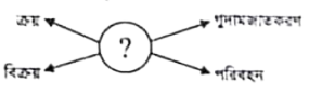
ছবিটি দেখে নিচের প্রশ্নের উত্তর দাও:

mcq image
ক. অর্থায়ন
খ. ভোক্তা
গ. উৎপাদন
ঘ. বিপণন
উত্তরঃ বিপণন
ক. ৩
খ. ৪
গ. ৫
ঘ. ৬
উত্তরঃ ৫
ক. উৎপাদক → ভোক্তা
খ. উৎপাদক → খুচরা বিক্রেতা → ভোক্তা
গ. উৎপাদক → এজেন্ট → ভোক্তা
ঘ. উৎপাদক → পাইকার → খুচরা বিক্রেতা → ভোক্তা
উত্তরঃ উৎপাদক → এজেন্ট → ভোক্তা
ক. রাস্তাঘাট নির্মাণ
খ. সুদবিহীন মূলধন সরবরাহ
গ. নিয়মতান্ত্রিক পরিকল্পনা প্রণয়ন
ঘ. নতুন কর্মসংস্থান সৃষ্টি
উত্তরঃ সুদবিহীন মূলধন সরবরাহ
ক. পরিকল্পনা
খ. সমন্বয় সাধন
গ. নিয়ন্ত্রণ
ঘ. প্রেষণাদান
উত্তরঃ পরিকল্পনা
ক. সামাজিক
খ. মানবিক
গ. জাতীয়
ঘ. ব্যবসায়িক
উত্তরঃ সামাজিক

নিচের উদ্দীপকটি পড়ে নিচের প্রশ্নের উত্তর দাও:


ফারহান ও রিফাত সমঝোতার ভিত্তিতে উপজেলা সদরে "বন্ধু ট্রেডারস" নামক একটি ব্যবসা প্রতিষ্ঠান তারা গড়ে তোলেন। দুজনই সমপরিমাণ মূলধন বিনিয়োগ করেন। কিন্তু ফারহান ঢাকায় অবস্থান করার ব্যবসার পরিচালনায় অংশ নেন না।
ক. সাধারণ
খ. সীমিত
গ. নামমাত্র
ঘ. ঘুমন্ত
উত্তরঃ ঘুমন্ত

নিচের উদ্দীপকটি পড়ে নিচের প্রশ্নের উত্তর দাও:


জনাব হাসান "আমি ডিপার্টমেন্টাল স্টোরে কাজ করে। তার কাজের ক্ষেত্রে পণ্য সামগ্রী বিক্রয়ের জন্য ক্রেতা আকর্ষণ ও ক্রেতাদের আস্থা অর্জন করার জন্য কিছু কৌশল অবলম্বন করে। বিক্রয়ের সময় নারী পুরুষ ভেদাভেদ না করে উভয়ের সাথে ভাল আচরণ, আন্তরিকতা ও ধৈর্যশীলতার মাধ্যমে বিক্রয় বৃদ্ধি করেন।
ক. বিপণন
খ. বিজ্ঞাপন
গ. ভোক্তা
ঘ. বিক্রয়িকতা
উত্তরঃ বিক্রয়িকতা
ক. i, iii
খ. i, ii
গ. ii, iii
ঘ. i, ii, iii
উত্তরঃ ii, iii

নিচের উদ্দীপকটি পড়ে নিচের প্রশ্নের উত্তর দাও:


মধ্যবিত্ত পরিবারের সন্তান আজাদ চাকরি না পেয়ে সামান পুঁজি নিয়ে বাড়ির সামনে একটি পুকুরে মাছ চাষ শুরু করেন। নিজ দক্ষতায় এক বছরের মধ্যেই লাভের অপার সম্ভাব দেখে তিনি স্থানীয় আরও ৮টি পুকুর লিজ নিয়ে মাছ চাষ ও পোনা উৎপাদন শুরু করেছেন। বর্তমানে ২১ জন শ্রমিক কাজ করে জীবিকা নির্বাহ করছে।
ক. উদ্যোগ
খ. ব্যবসায় উদ্যোগ
গ. আত্মকর্মসংস্থান
ঘ. বাণিজ্য
উত্তরঃ আত্মকর্মসংস্থান

নিচের উদ্দীপকটি পড়ে নিচের প্রশ্নের উত্তর দাও:


জনাব আয়ন একজন ব্যবসায়ী। তিনি উক্ত ব্যবসায় থেকে ২০২০ সালে একটি নির্দিষ্ট পরিমাণ মুনাফা অর্জনের আশা করেছিল। কিন্তু মহামারী করোনার কারণে কাঙ্খিত মুনাফা অর্জন সম্ভব হয়নি।
ক. ঝুঁকি
খ. অনিশ্চয়তা
গ. লোকসান
ঘ. সম্ভাবনা
উত্তরঃ ঝুঁকি